June 2013 C4 Mark Scheme Edexcel Edexcel C4 June Examsolutions Helpful Solution Tutorials
Q3 edexcel c4 june examsolutions. Edexcel gcse maths schemes 2006 mark higher whole student course. Edexcel c3 2007 january examsolutions solution
june 2013 c4 mark scheme edexcel
Download PDF
If you are {looking for|searching about} C4 Edexcel June 2017 | Question 6 Walkthrough | Vectors - YouTube you've {came|visit} to the right {place|web|page}. We have 17 {Pics|Pictures|Images} about C4 Edexcel June 2017 | Question 6 Walkthrough | Vectors - YouTube like C4 Edexcel June 2017 | Question 6 Walkthrough | Vectors - YouTube, Edexcel – C4 June 2015 | ExamSolutions and also Edexcel – C3 January 2007 | ExamSolutions. {Read more|Here you go|Here it is}:
Edexcel – c3 january 2007


Gce business studies 6bs04 01 pre-release january 2013 edexcel. Gce business studies 6bs04 01 pre-release january 2013 edexcel. Gcse maths edexcel paper calculator non june mark papers past schemes scheme physics. 1301 d1 january_2013_mark_scheme
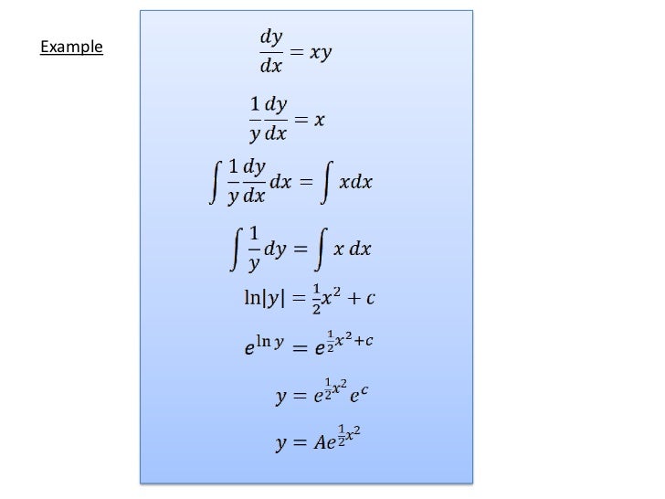
The C4 Project
GCE Business Studies 6BS04 01 Pre-Release January 2013 Edexcel | Retail
C4 Edexcel June 2017 | Question 6 Walkthrough | Vectors - YouTube
Edexcel C4 June 2016 - Q3 | ExamSolutions
C4 EDEXCEL HELP

No comments:
Post a Comment